365在线体育专业的照明设计师培训基地

照明设计师

全国课程服务热线: 400-877-8760 周一到周日 9:00 - 21:30

建筑侧窗采光简化评估方法的研究

发布时间:2015-09-08 13:51来源:365在线体育
建筑侧窗采光简化评估方法的研究
 中国照明学会《照明工程学报》于2012年《照明工程学报》创刊20周年之际开展优秀论文评选工作。经过作者自荐、专家推荐以及专家评审等工作,从2010年、2011年、2012年《照明工程学报》刊登的论文中评选出优秀论文50篇。本篇论文荣获《照明工程学报》2010年—2012年优秀论文评选 二等奖。
  作者:张昕 步韩天辞
    1 引言
  如何通过合理的设计在室内环境中有效利用自然光,是一件在节约能源和提高舒适度方面都非常有意义的事情,但增加室内自然采光也会带来相反的负面作用。晴天条件下室内过高的自然光照度不仅对健康不利,还会因使用遮阳措施的同时开启人工照明而增加照明能耗。美国的绿色建筑先锋奖( LEED) 认证条例2009 版规定新建筑75% 以上的使用空间都要有充分的天然光,即在9 月21 日( 秋分) 上午9 时至下午3 时期间至少有250lx 的天然光照度,并且在晴天条件下照度不超过5000lx。
  我国早在20 世纪70 年代就颁布了《工业企业采光设计标准》,1991 年进行了修订,2001 年更名为《建筑采光设计标准》GB /T50033—2001。标准中规定了对工业和民用建筑天然采光的数量和质量要求以及简易计算方法,但经过中国建筑科学研究院建筑物理研究所的调查和访谈,发现该方法并未在中国的大量建筑设计实践中得到认真执行。
  2 以采光系数为基础的计算、评估方法综述
  自20 世纪70 年代制定的《工业企业采光设计标准》至2001 年版的《建筑设计采光标准》,采光系数一直被作为评定采光数量和质量的核心参数。采光系数的概念建立在典型天空模型基础上,虽然有一定的局限性,但能便捷易懂的表达建筑采光设计中的普遍问题,从1907 年提出以来,至今发挥着不可替代的作用。
  我国地域广阔,气候类型复杂多样,2003 年以来提出的基于动态气象参数模型( CBDM) 的评价体系较之采光系数评估方法更为准确,但对于我国全国范围的采光设计标准而言,该方法尚不成熟( 英美国家新标准中也未能真正应用) 。目前在国际上,以采光系数为基础参数的评定方法依然最为通行,在近几年中也有了很多改进,主要集中在平均采光系数的研究上。
  2. 1 流明法
  流明法是一种针对室内自然光照度的简化预估方法。对于侧窗采光来说,可以用简化的“五点法”对室内不同进深位置的照度水平进行预测。标准的简化模型规定了通常情况下的室内反射比,屋顶为70%,墙面为50%,地面为30%。室内五点的位置分别为0. 1D、0. 3D、0. 5D、0. 7D 和0. 9D,其中D 为房间进深。计算公式如下:
 建筑侧窗采光简化评估方法的研究 
  其中Ei代表参考点上的照度值,Exv为室外垂直照度,τ 为侧窗玻璃的透射比,CU 为该房间的利用系数( 通过查表求得) 。该方法最为重要的参数是利用系数CU,是基于大量实际测量的经验总结。通过查表,并确定某点所对应的利用系数,可以代入公式直接计算出该点的照度值。利用系数的引入包含了进深/窗高、窗宽/窗高以及测量点的位置等几何信息,可以有效反映出空间几何尺寸对采光系数的影响。但此种方法计算起来略为繁琐,对于室外垂直照度Exv的确定较为复杂,在建筑设计阶段很难利用这种方法进行采光预估。
  2. 2 采光系数法
  采光系数法是在天空亮度分布已知的前提条件下,对室内空间水平工作面上的任意一点进行采光系数估算的方法。该方法排除了阳光直射的情况,通常使用CIE 标准全阴天空模型,适用于全阴天气较为普遍的地区。该方法认定在室内空间水平工作面上任意一点的照度值由三种因素决定,分别为天空分量( SC) ,室外反射分量( ERC) 和室内反射分量( IRC) 。其中天空分量指某点直接受天空作用所得的采光系数分量,室外反射分量和室内反射分量分别指室外、室内环境反射作用于该点的采光系数分量。该点最终的采光系数值由这三个分量相加而得( 图1) :
  DF = SC + ERC + IRC ( 2)
DF = SC + ERC + IRC ( 2)
    对这三种采光系数分量的确定过程同样较为繁琐,需要确定待估空间的基本比例关系和待估点的位置等几何信息,其中最为核心的环节是天空分量的确定,在此不一一赘述。这种方法建立在全阴天模型的基础上,可以在设计阶段对室内工作平面的某一点采光系数进行预估,缺点是不够精确,不易反映室内空间的整体采光水平。
  2. 3 近似平均采光系数计算公式的提出及理论研究
  针对室内工作面上特定参考点的计算方法对于总结采光系数在平面上的变化规律有着重要意义,也是平均采光系数的计算公式得以成形的经验基础。近年来的国际采光设计标准,都将平均采光系数作为评定室内采光数量与质量的重要参数。英国的设计标准BS 8206 第二部分描述道: 在通常照明要求条件下,如果没有人工照明,室内平均采光系数不应小于5%,如果有人工照明补充,平均采光系数不应小于2%。北美照明工程学会( IESNA) 所制定的《北美照明手册第9 版》建议: 室内空间的平均采光系数大于等于5%的时候可以达到采光良好的要求,如果低于2%,室内空间将显得灰暗且照明不足。
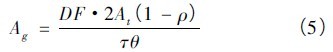
  在上世纪70 年代,国外学者在大量现场测量和模型实验数据的整理基础上提出了平均采光系数的计算公式。1979 年,Lynes 针对矩形侧窗采光空间的平均采光系数提出了如下计算表达式:
  Lynes 针对矩形侧窗采光空间的平均采光系数提出了如下计算表达式
  其中ADF 为平均采光系数,Ag为窗户净表面面积,At为包括窗户在内的室内总表面面积,τ 为玻璃透射比,θ 为天空遮挡角,ρ 为室内表面平均反射系数。天空遮挡角θ 的确定方法如图2 所示,当室外无遮挡时θ 值为90:
建筑侧窗采光简化评估方法的研究
    而言的,不是工作面上的平均采光系数。提出衡量室外遮挡因素的天空遮挡角参数,是该表达式的一个重要意义。在随后的研究过程中,有关平均采光系数的公式出现了多个修正版本。
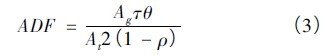
  1984 年Crisp 和Littlefair 对Lynes 的公式进行了修正。通过人工天空下的模型实验,他们发现Lynes公式低估了模型空间内平均采光系数的实际情况。基于新的研究数据,将Lynes 的公式修正为:
将Lynes 的公式修正为:
  这个公式的计算结果同模型实验中的测量值更加吻合,并最终在北美照明工程学会( IESNA) 和其他很多版本的规范中得到肯定和应用。哈佛大学的CF Reinhart 在他近期的研究论文中
  展示了利用计算机模拟工具Radiance 对上述两种平均采光系数表达式的验证评估。验证结果如图3所示。
利用计算机模拟工具Radiance 对上述两种平均采光系数表达式的验证评估
    右图为修正公式求值和Radiance 模拟值的比较结果,左图为Lynes 原始公式和模拟值的比较结果;后者的吻合度可以归纳为函数y = 1. 1323x,前者的吻合度可以用函数y = 0. 813x 表示。该比较分析表明修正后的公式更接近于Radiance 模拟计算结果。
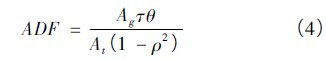
  2. 4 C. F. Reinhart 等人提出的采光四步骤计算法
  C. F. Reinhart 等人提出并验证了侧窗采光空间的天然光设计步骤。因该设计步骤以采光系数作为
  判定参数,故适用于以接收漫射天光为主的空间,并需要补充关于直射日光的眩光分析与能耗分析,该方法适用于早期的设计过程。该设计流程经由2300 个侧窗采光空间的Radiance 模拟得以验证,步骤如下: ( 1) 确定预估目标基本状况; ( 2) 天然光可行性验证; ( 3) 设定房间比例和表面反射比;( 4) 基于Lynes 采光系数公式精确评估开窗区域。
  步骤( 1) 中确定设计中需要自然采光的房间的实际情况,特别是拟需要达到的平均采光系数值DF 和室外有效天空角度。
  步骤( 2) 天然光可行性验证: 确定窗玻璃的透射比τ,并根据下列公式确定满足步骤( 1) 中采光系数条件下的最小窗地比WWR。
 建筑侧窗采光简化评估方法的研究
  如果根据该公式确定出的WWR 大于80% 则需要重新考虑步骤( 1) 中所拟定的采光系数值,或更改设计中的相关几何尺寸。
  步骤( 3) 确定房间内表面反射比,开间和窗上沿高度h,根据下列公式确定房间天光自治区域。天光自治有效进深D
  建筑侧窗采光简化评估方法的研究
  步骤( 4) 计算开窗面积,根据有效进深D 计算房间总表面面积At,代入( 5) 计算开窗面积:
 建筑侧窗采光简化评估方法的研究
  根据以上四个步骤即可直接计算出满足平均采光系数要求的开窗面积。该方法中确定天光自治有效进深的步骤保证了采光均匀的要求,可以在既满足质量又满足均匀度的前提下调整进深和开窗面积。对于进深尺寸已经确定的项目,可以跳过第三步直接进入第四步的面积计算。当然,开窗面积要增大很多且采光系数随进深的变化较为巨大。
  3 以最小采光系数为判据存在的问题与误差分析
  笔者选用Radiance 模拟工具针对典型几何参数的房间,代入不同变量,以确定各参数对采光系数的影响规律。具体参数如下:
  ( 1) 净高2. 5、4. 5、6. 5 米,进深4. 8、5. 4、6. 0、7. 2、8. 4、9. 0 米。
  ( 2) 窗宽系数( 开窗宽度/开间) 0. 5、0. 7、0. 9,窗高系数( 开窗高度/层高) 0. 2、0. 4、0. 6。
  ( 3) 模型未含窗框,玻璃透射比0. 737,窗下沿高为1 米。
  ( 4 ) 室内墙面反射比为0. 5,地面0. 2,天花0. 8。
  ( 5) 上述数据对应18 个房间模型,每个房间模型9 种开窗方式。
  全部模型均基于北京标准全阴天进行模拟。笔者从每个模拟数据中提取出75% 工作面面积均能达到或超过的采光系数值,所得数据源如图4 所示。笔者提取出窗地比1 /5 的情况进行比较,发现在等窗地比的情况下,存在空间净高越高,采光系数越低的情况。单一窗地比对应某一采光系数的规定存在一定误差。
  与我国现行标准不同,澳大利亚的采光设计标准以平均采光系数为基础,相关学者对窗墙比、窗地比以及进深/窗高比等比例关系对平均采光系数的影响进行了研究[4]。结果表明,窗地比与采光系数平均值成近似正比,而与采光系数最小值无直接线性关系,平均采光系数对应建筑师的采光方案判定更具合理性。
  笔者选取进深4. 5m、开间7. 2m 的房间进行比较研究,从原始模拟数据中提取出平均采光系数和最小采光系数,得出窗地比与Cave呈近似线性关系,C75%与Cmin成近似线性关系,但C75%、Cmin与窗地比无线性关系。另外,窗地比越大,平均采光系数与最小采光系数之比越小( 均匀度越高) ,这两个结论同澳大利亚的相关研究相似。
建筑侧窗采光简化评估方法的研究
  以下列两组模拟数据为例( 表1) :
建筑侧窗采光简化评估方法的研究
  图5 中两组数据的窗地比分别为1 /4. 4、1 /5. 3,均满足临界照度100lx 的要求,但前者的开窗更为合理,进一步反映出目前我国建筑师仅依据窗地比进行采光设计存在的误差问题。现行的窗地比与采光系数“一一对应”的分级准则不准确,最小采光系数的评定方法难以同国际标准相比对,且同其他几何尺寸的关联上存在矛盾,建议采用平均采光系数作为新的评判标准。综上所述,以平均采光系数作为新的衡量标准,既克服了最小采光系数标准所导致的缺憾,同时可以和天窗采光的标准相统一,也提供了一种限制大进深、大开窗设计的可能。
  4 以采光系数平均值为判据的侧
  窗采光简化计算方法的提出
  4. 1 侧窗采光查表计算方法的原则
  本评估计算方法更为符合建筑设计中的自然流程,即在先期确定房间基本尺寸( 开间,进深,层高) 的过程中,确定侧窗开窗大小,直接提供与建筑师确定房间尺寸、开窗大小两级思考步骤相对应的平均采光系数。为此笔者制定出一种二级嵌套的表格结构,直接对应上述两级思考步骤; 反之,如果设计结果所对应的平均采光系数值不能满足预期采光要求,可以通过改变开窗尺寸、房间尺寸进行设计调整。
  确定了基本的“二级嵌套”查表计算方法之后,笔者初步确定了本方法的基本原则:1) “穷举式”数据处理,借助大量模拟数据以精确的房间几何尺寸和开窗方式对应精确的平均采光系数。通过建立采光系数和具体设计条件的对应关系,减小利用单一窗地比数值评估房间采光情况所造成的误差,代替目前采光设计标准使用中相对繁琐的查表计算过程。
  ( 2) 利用平均采光系数的研究成果,综合考虑户外遮挡、玻璃透射比和室内反射因素,与实际设计中条件接轨。穷举思维并不意味着涵盖现实设计条件的全部,复杂参数之间的组合关系是无法“穷举”出来的,更不可能逐一模拟。但可以借助前文所述平均采光系数计算公式,最大限度接近真实的复杂情况。笔者对简化二级结构下的各种情况进行模拟之后,利用公式进行计算扩充。
  ( 3) 最终成形的查表方式和计算方法应尽量符合建筑师的常规设计流程和思考习惯,简单易行。
  4. 2 表格结构细化
  依据我国《建筑设计资料集》中的普遍设计尺度,将模拟数据库范围定在进深4. 5m ~ 16. 8m、层高2. 2m ~ 12. 0m 之间,将进深、层高划分为若干区间,选取每个区间的代表尺寸进行模拟。根据对模拟结果的比较与分析,将4. 5m ~ 15. 6m 范围内的进深划分为10 个区间,以1m 间隔为区间单位,典型代表取中值。
  根据常规设计尺寸中的进深/层高比例关系,笔者对一级表格结构进行了筛选,去除进深过小或过大的空间组合,既可以满足常规的建筑设计空间要求,同时避免大进深房间所带来的均匀度过差的情况。进深/层高超过一定值之后,平均采光系数对房间整体采光质量的评价作用也就失去了意义。因此,将常规的空间尺度控制在0. 75 倍层高< 进深< 2. 5倍层高的范围内,最终确定出一级表格的有效部分。一级表格中的每一格都嵌套着一个二级表格。其基本结构由窗高系数和窗宽系数两个控制因素构成。其中窗高系数( 窗洞高度/层高) 取值为0. 2、0. 4、0. 6; 窗宽系数( 窗洞宽度/开间) 取值为0. 5、0. 7、0. 9,即在每一个房间尺寸中都包含着9 种开窗方式。
  4. 3 计算机模拟
  相对于针对侧窗采光的公式计算、模型试验、实际测量而言,计算机模拟更为精确。笔者所选用的模拟工具是哈佛大学GSD 开发的以Radiance 为计算内核的Diva for Rhino,对前文所述表格结构中的各种情况进行逐一模拟计算。原始表格结构中有效空间部分共包括69 个房间,每个房间对应9 种开窗方式,总计621 种采光状态,模拟后取得由621 个平均采光系数所组成的原始数据库,是下一步表格扩充的基础( 见图6) 。
建筑侧窗采光简化评估方法的研究
    4. 4 模拟结果的相关验证和比较
  我国现行采光标准基于大量的实际测量验证,有着较高的可靠性,现行标准中作为评定标准的采光系数“最小值”是指距内墙中点1m 处的采光系数。笔者选取了5 个不同房间( 开窗方式不同,窗地比差别较大) 进行模拟,每个房间分别对应三种不同的开间/进深比值,从模拟结果中提取出符合目前采光设计标准所定义的采光系数“最小值”; 根据这5 个房间的几何参数,用目前标准中的采光计算方法算出相应的采光系数“最小值”,得到的15组比对关系的平均误差为10. 5%,近似一致。
  4. 5 利用线性插值法对表格内容的扩充及验证
  为扩充表格,缩小区间单位,以方便查表过程中的精确定位,笔者采用线性插值的方法对原始表格进行了扩充。
  首先,将二级表格的9 组数据扩充至25 组数据,原始设定的窗宽系数0. 9、0. 7、0. 5,通过插值扩充至0. 9、0. 8、0. 7、0. 6、0. 5, 窗高系数0. 2、0. 4、0. 6 扩充至0. 2、0. 3、0. 4、0. 5、0. 6。
  笔者利用计算机模拟方法对插值数据进行验证。16个数据的平均差值为0. 04,标准方差0. 034,表明在原始模拟数据的基础上利用线性插值方法完全可以进行准确、详尽的表格扩充工作。
  4. 6 借助平均采光系数公式对计算方法的简化
  计算机模拟未能考虑到的影响因素包括玻璃透射比τ、室外遮挡角度θ、以及影响Ag /At的开间W。在计算机模型中,玻璃透射率的取值为0. 8,室外无遮挡( θ = 90°) ,开间/进深= 1,所以如果将模拟结果应用到实际情况,需要借用公式对查表求值进行转换。另外,虽然实际设计情况中室内反射系数各不相同,但因为影响平均采光系数的室内平均反射系数ρ 经过面积的加权之后相差不大,可以认为在常规的设计条件下,ρ 为常数。因此在随后的公式拓展中未将ρ 的折算纳入在内。
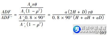
  首先我们需要解决开间W 的引入和转化。以开间和进深相等的房间为基础,结合实际情况进行数值的转化,笔者确定了参数a 代表开间与进深的比值:即a = W/D
  在计算机模拟过程中a = 1,但在实际设计情况中开间/进深的变化范围很大,取值一般在0. 6 ~2. 5 之间。若建筑师所需要评估的房间真实的平均采光系数为ADF,相对应的( 也就是在表格中所能查到的值,两种情况进深、层高完全相等,但设计开间的a 值不同) 表格中的平均采光系数为ADF',则可以得到以下的公式推导过程:
  建筑侧窗采光简化评估方法的研究
  其中a、τ、θ 分别为实际情况中的开间/进深、玻璃透射比以及室外遮挡角,从而实现了实际平均采光系数和表格中模拟结果之间的转化:
建筑侧窗采光简化评估方法的研究
  依此确定了完整的查表计算步骤:
  ( 1) 确定设计房间的进深、层高以及开窗墙面上的窗高、窗宽系数,在表格中查出平均采光系数值ADF'。
  ( 2) 确定开间与进深的比值a,综合了污染系数与挡光系数之后的玻璃透射比τ 以及室外遮挡角度θ,代入公式求得实际的平均采光系数ADF,完成对指定房间采光情况的评估。
  以上是对于既定设计条件采光情况的评估,可以根据评估结果对设计进行调整。另一种建筑师的设计模式是针对既定的采光标准进行开窗设计。建筑师需要确定既定采光目标ADF,并通过以下公式转化得到需要在表格中查找的模拟值ADF':
 建筑侧窗采光简化评估方法的研究
  得到ADF'后,根据进深、层高的组合关系锁定二级表格的具体位置,进而找到相应的开窗组合方式,为开窗设计提供参考。由于二级表格中窗高系数与窗宽系数的区间单位精度有限,如果建筑师需要找到对应某一采光系数模拟值的精确开窗方式的话,需要结合该二级表格在相应区间进行插值。但就一般的粗略估计而言,笔者建议建筑师在每一二级表格的25 个数值中选择最接近且大于ADF'的数值,并根据该数值所对应的窗宽、窗高组合关系进行开窗设计。
  该方法可以实现建筑师“正”、“反”两种方向的采光设计需求,以查表为主,公式计算为辅。该方法以精确的计算机模拟数据为基础,借助理论公式综合了多种影响因素,为建筑师设计过程中的侧窗采光设计提供了方便、有效的方法。